碟形弹簧计算软件是一款专业的碟形弹簧计算工具,操作简单,支持自动计算,是适用于帮助专业人士手动计算碟形弹簧的行业计算器,官方版主要用于计算碟形弹簧相关性能,给定数值计算结果,让你脱离手工计算的繁琐。

软件简介
碟形弹簧计算软件,本程序用于计算碟形弹簧相关性能,给定数值计算结果,让你脱离手工计算的繁琐,这里提供专业人士,很方便的一个小工具。
使用说明
1、首先解压文件。
2、输入碟形弹簧数值。
3、点击自动计算即可!
相关介绍
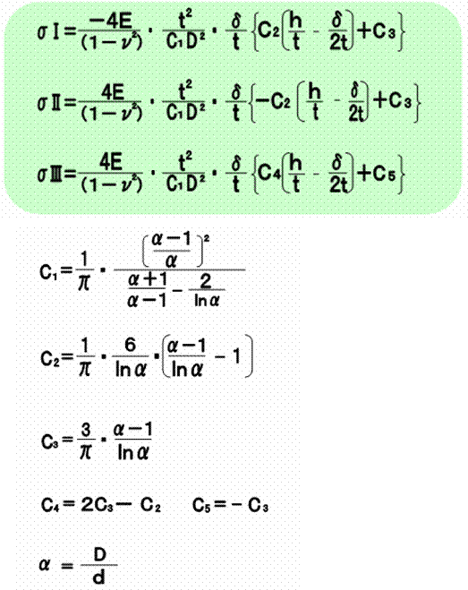
碟形弹簧计算公式
【负荷~压缩量】

【应力~压缩量】

纵向弹性系数/柏松比。